Sabtu, 26 November 2022

 Aku pintar logo

Bilangan berpangkat - Pengertian, Sifat, Operasi, dan Contoh Soal

Sobat Pintar, tahukah kamu bahwa grafik yang naik atau turun itu ada hubungannya dengan keadaan di sekitar kita? Kita dapat mengetahui apakah grafik itu naik atau turun dengan menggunakan bilangan berpangkat lho, Sobat. Apa sih yang dimaksud dengan bilangan berpangkat itu? Yuk kita belajar bersama untuk mengenal bilangan berpangkat lebih dalam lagi lewat artikel ini!

Pengertian Bilangan Berpangkat

Bilangan berpangkat adalah suatu bilangan yang digunakan sebagai bentuk penyederhanaan dari sebuah bilangan yang mana bilangan tersebut mempunyai faktor-faktor perkalian yang sama.

Sifat-sifat Bilangan Berpangkat

Tahukah kamu ada berapa sifat bilangan berpangkat?

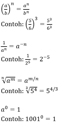
Sifat-sifat bilangan berpangkat dibagi menjadi lima macam, yaitu: pangkat bulat positif, pangkat bulat negatif, pangkat nol, pangkat pecahan, dan bentuk akar.

Pangkat Bulat Positif

 


 

Pangkat Bulat Negatif

 


Pangkat Nol

 

 

Pangkat Pecahan

 

 

Bentuk Akar 

Bentuk akar adalah bilangan yang jika dimasukkan dalam operasi bentuk akar menghasilkan bilangan irasional. Bentuk akar termasuk ke dalam bilangan irasional dimana bilangan irasional tidak bisa disebutkan dengan menggunakan bilangan pecahan a/b, a serta b bilangan bulat a dan b tidak sama dengan 0

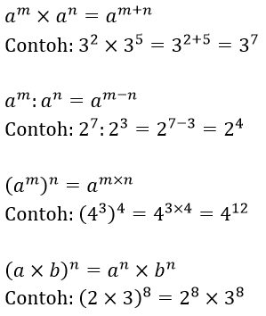
Operasi Bilangan Berpangkat

Dalam operasi bilangan berpangkat, terdapat aturan yang perlu diperhatikan yaitu perkalian dan pembagian. Aturan perkalian berhubungan dengan bentuk penjumlahan, sedangkan aturan pembagian berkaitan dengan bentuk pengurangan. Berikut operasi dan contoh soal dari bilangan berpangkat:

Nah, Sobat, materi dan soal bilangan berpangkat ternyata mudah, bukan? Selain materi bilangan berpangkat, kalian juga bisa belajar tentang materi lainnya melalui aplikasi Aku Pintar di fitur Belajar Pintar mata pelajaran Matematika. Sampai bertemu di pembahasan berikutnya, Sobat Pintar!

Leave a Reply

Subscribe to Posts | Subscribe to Comments

- Copyright © Senang belajar online - Blogger Templates - Powered by Blogger - Designed by Johanes Djogan -